| Lần | Khối lượng bì (a) (g) | Khối lượng mẫu thử (b) (g) | Khối lượng tro và bì sau khi nung (c) (g) | Hàm lượng tro (%X) |
|---|---|---|---|---|
| 1 | ||||
| 2 | ||||
| Trung bình | ||||
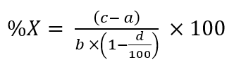
Công thức tính:
Kết quả lấy 02 số lẻ
| Lần | Khối lượng bì (a) (g) | Khối lượng mẫu thử (b) (g) | Khối lượng tro và bì sau khi nung (c) (g) | Hàm lượng tro (%X) |
|---|---|---|---|---|
| 1 | ||||
| 2 | ||||
| Trung bình | ||||
Kết quả lấy 02 số lẻ