| Lần | Khối lượng bì a (g) | Khối lượng mẫu thử b (g) | Khối lượng cặn và bì sau khi sấy c (g) | Lượng chất chiết (%X) |
|---|---|---|---|---|
| 1 | ||||
| 2 | ||||
| Trung bình | ||||
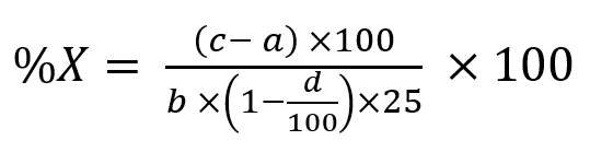
Công thức tính:
Kết quả lấy 02 số lẻ
| Lần | Khối lượng bì a (g) | Khối lượng mẫu thử b (g) | Khối lượng cặn và bì sau khi sấy c (g) | Lượng chất chiết (%X) |
|---|---|---|---|---|
| 1 | ||||
| 2 | ||||
| Trung bình | ||||
Kết quả lấy 02 số lẻ